《2022上海市高考一分一段表新鲜出炉》
从高到低排序,以一分为一段,制成考生投档分的“一分段表”。下面是小编为大家整理的2022上海市高考一分一段表新鲜出炉,仅供参考,喜欢可以收藏与分享哟!

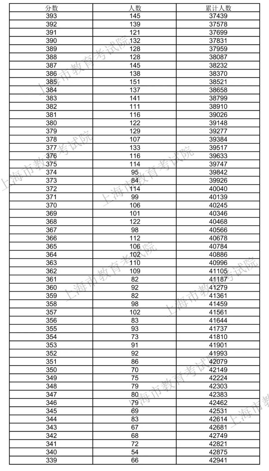
2022上海市高考一分一段表
2022上海市高考一分一段表还没出,可以收藏以待更新,大家可以参考一下2021上海市高考一分一段表。
2021上海市高考一分一段表







高考备考方法
语文 研读考试大纲,对照考点,查漏补缺
高考在即,怎样做一个明明白白的竞争者,清清楚楚的应考者,关系到高考的成败。建议考生认真研读考试大纲,对规定的考试内容,作条分缕析的整理,对照考点,查漏补缺,聚焦解决。语文学科考点并不繁杂,积累模拟试题的考试经验,注意形成知识体系,总结每一个考点的答题规律。仔细审题,明确要求。作文是语文考试的“半壁江山”,不可忽略,在以往的模拟中,每次都有范文,教师在讲评中,有肯定有否定,要回味思考。立足自我写作的实际,汲取他人成功的经验,写好一篇合格的考场作文并不难,应该说,文章的内容(包括立意、材料或者论据)和语言,是两个重要的得分点。同时要通过审题关,书写和标点的细节也要谨慎。有深刻的思想,有清晰的思路,有感染力的语言,有整洁的卷面,就能在语文考试中受益。
数学要在“思、串”上下工夫
高考临近,高三的学生已经离校或者即将离校,回到家里做高考前的冲刺复习和考前调整。个人认为,这几天的数学复习应注意以下几点:一、整理、翻阅在校复习的笔记、讲义、做过的练习题、试卷,包括课本例题、习题,做解题回顾与反思。尤其对于印象不深、经常出错的地方,一定要反馈到知识点上,重点强化,重新掌握基础知识,不然高考中还要出错。对于一些在教科书上找不到,而考试却又常常出现的隐性知识点(如一些典型结论、重要数据等)也应给予足够的重视。二、适度做题。要选择那些难度不太大、能够增强自信心,便于发现薄弱问题的试题作考前热身练习,进一步巩固“读、写、画、证、算”等解题基本功。而对于综合程度高的问题则要灵活取舍,大胆放弃,这个阶段的数学复习讲究宁缺毋滥。三、一定要回归课本、回归基础,基础知识好比粮食,“手中有粮,心里不慌”。要注意基础知识的回顾、理解、记忆,重视前面基础部分如选择题、填空题,能整理多少算多少,切忌一味地做综合题、模拟题、攻难题。要在“思、串”上下工夫,让高考前的这几天成为再思考、再发现、再提高的过程。
英语查漏补缺注意细节
针对高考前的这段复习时间,高考前一周,应主要用来抓知识的主干,进行强化记忆。总的原则是回归基础,形成知识网络,把查漏补缺、解决前面复习中出现的问题放在第一位。复习时更应收缩到自己整理的提纲、考卷、错题收集上。巩固语言知识点,加强做题的方法和技巧,这一周的复习,就像运动员在比赛前的准备活动和适应性练习一样,通过“收缩复习”“强化记忆”,可以进一步为高考打下坚实的基础,熟练地掌握知识的整体框架,以便能在高考答题中,根据主干迅速回忆,让自己的答案做到差不多。高考前一周就应该进入全真模拟状态,养成良好的应试心态,要有一颗平常心、平静心,始终给自己一个好的暗示——我行。每天做一套卷子。每天做一份卷子可以使考生在几天后真正拿到高考试卷时不感到手生,能找到感觉。这几天必须坚持一天5篇阅读,限时做完,练习仿真极高的听力,确保进入考场后不胆怯,延续原有的手感和语感。坚持看、背、记做过的作文,尤其背一些开头句和结尾句。总之,在最后几天的复习中,从源头上查漏补缺,注意细节,切不可用“粗心”二字一带而过。
2022上海市高考一分一段表新鲜出炉相关文章:
