《2022湖南高考物理真题及答案_高考物理真题》
十年寒窗标记的生活刻度难以磨灭,伏案苦读也没法用一句“俱往矣”概括,高考注定将是莘莘学子生活之书里浓墨重彩的章节。下面是小编整理的关于2022湖南高考物理真题及答案_高考物理真题,欢迎阅读!

2022湖南高考物理真题及答案








2022高考真题物理(湖南卷)
1-5:CADBA
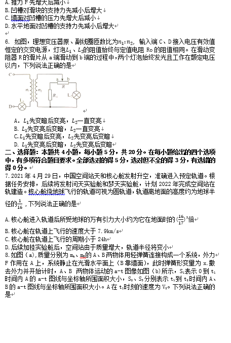
6-10:B A,C C,D B,C B,D
11、

12、

13、

14



15、

16、

2021湖南高考物理真题及答案









高考物理注意事项
1、警惕容易题目失分。同学们在训练时解容易题一定要将过程和结果写出来。
2、考生要寻找关键点来列方程。物理的大题部分基本是靠公式来得分的,列对了方程和公式就会有分得。
3、注重实际操作。在考前最后几天里,建议抽时间到实验室去动动手,将往年实验题部分的实验操作进行一遍。
4、用补图法帮助审题。把物理科目的题意理解错了是一个较普遍的现象,建议同学们用补图的方法帮助审题,在头脑中建立活的物理情景。
例如,根据题意,画出物体运动过程中几个关键状态的情景图,来帮助自己理解题目叙述的全过程,准确把握问题的已知条件、边界条件、临界条件。
2022高考志愿填报步骤
1、阅读招生计划
特别提醒考生注意的是,有些高校对填报志愿的要求以及一些有特殊规定的院校和专业进行了提示,考生一定要全部阅读。
2、拟定志愿草表
建议考生上网填报志愿前,先将选报的志愿填写到志愿草表上,再按志愿草表上的内容上网填报,可以减少在网上反复修改的次数,减少出错的可能性。
3、登录指定网页
登录省招办指定网页,打开浏览器,输入网报网址,如果网络管理员已经将网报地址设置为浏览器的主页,打开浏览器就可以啦。
4、输入用户名和密码
用户名是考生准考证上的14位报名号数字,第一次登录网上填报志愿系统要输入初始密码,初始密码是考生本人的身份证号。输入用户名和密码后,再点击“登录”按钮即可进入网上填报志愿系统。
5、首次登录后必须修改密码
填写联系地址和电话,阅读考生须知。首次进入网上填报志愿系统时,计算机屏幕上会出现修改密码、填写联系地址和电话及阅读“网上填报志愿考生须知”的界面。考生必须按要求修改初始密码并填写联系地址、电话等信息。考生应仔细阅读“网上填报志愿考生须知”,了解操作流程和相关要求以后再执行“修改”操作。考生只有正确完成本界面操作后方可进入系统进行其它操作。
6、选择批次填报志愿
先在网页上点击“填报志愿”按钮,选择要填报的批次进入填报页面,例如,你要填报第一批本科志愿,就点击“第一批本科”,进入第一批本科志愿栏,按志愿草表上的院校代号和专业代号填到一本志愿栏内。填完一本志愿后,如果你还要填报二本志愿,就点击“第二批本科”,进入第二批本科志愿栏填二本志愿。不同批次不同序号的院校志愿和不同序号的专业志愿要填到对应的志愿栏,每个志愿要与志愿栏一一对应,千万不要错栏错位。
7、检查核对
院校代号和专业代号输入完毕后,点击“下一步”按钮,网上填报志愿系统将你填的代号转换成相对应的院校和专业,屏幕上会显示你填报的院校名称和专业名称。这时候,要阅读屏幕上的提示信息,仔细核实显示的学校和专业是不是你想要填报的,如果不是,或出现红色字体显示的“无效院校”或“无效专业”就说明填错了代号,一定要按正确的代号更正,要不然就张冠李戴了。如果要修改或补填志愿,可以点击“上一步”按钮,返回到填报界面进行修改或补填。
8、保存志愿信息
检查志愿信息无误后,点击“保存”按钮,只有点击了“保存”按钮,填报的志愿信息才会储存到网报系统中;不点击的话,志愿信息就保存不了,等于没有填报志愿。每一个批次的志愿填好后,都要点击“保存”按钮,保存这个批次的志愿信息。
9、查询志愿,退出系统
把需要填报的各批次志愿全部填报完毕后,点击“查询志愿”按钮,可以全面查看各批次志愿填报情况,检查所填批次、院校、专业志愿是否完整准确,是否存在无效院校志愿或无效专业志愿。如果没有问题了,点击“安全退出”按钮,退出网上填报志愿系统,关闭填报志愿的浏览器页面。
10、修改志愿
考生可在截止时间之前随时登录系统使用“填报志愿”与“查询志愿”功能。特别提醒考生的是,修改志愿后一定要点击“保存”,否则修改无效,多次修改志愿以考生最后一次保存为准。修改密码与联系方式:考生可在截止时间之前随时登录系统使用“修改密码”及“修改个人信息”功能进行修改。
2022湖南高考物理真题及答案_高考物理真题相关文章:
