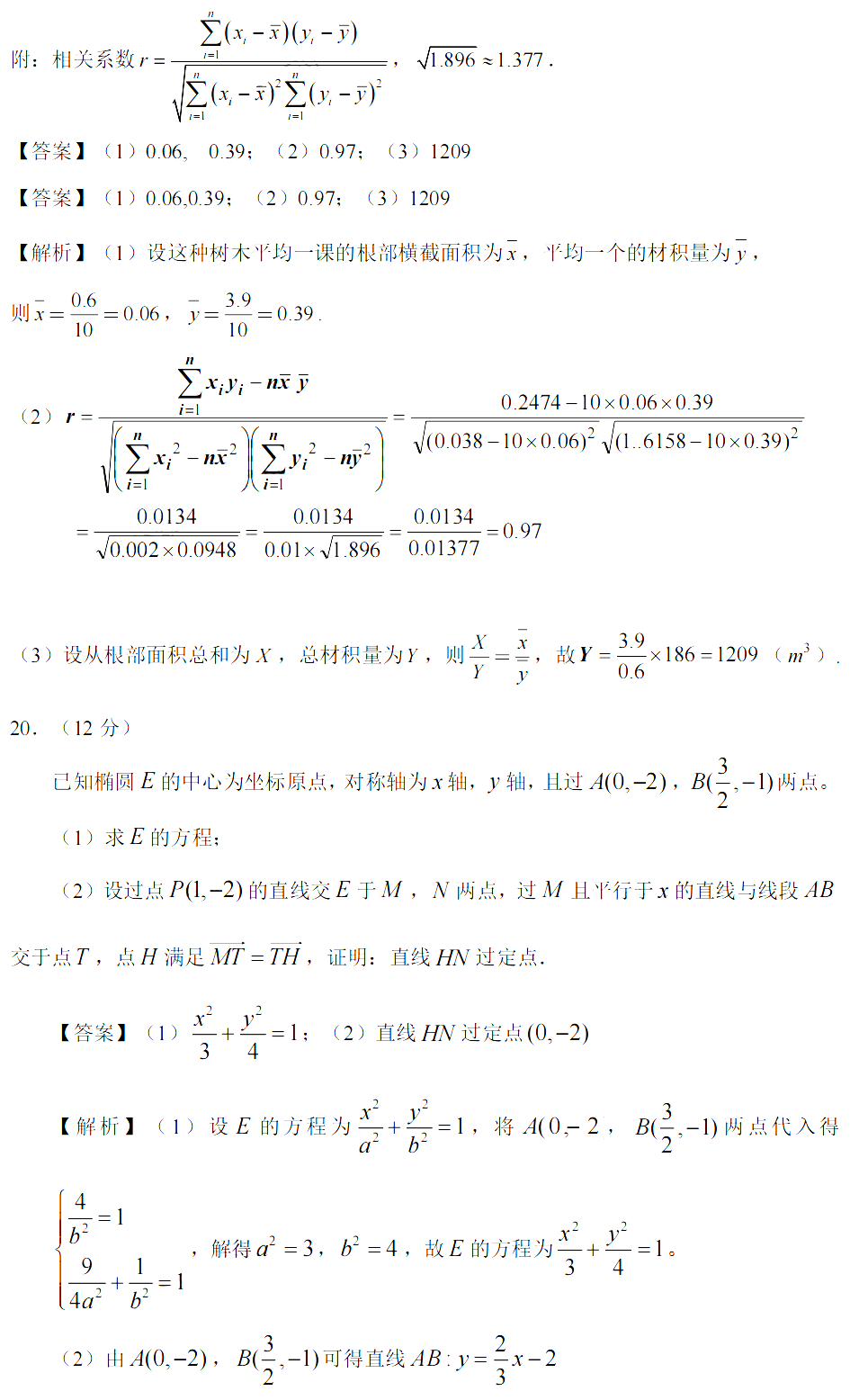
《2022年高考全国乙卷(理科)数学科目题目与答案解析》
今天是高考的第三天,数学科目的考试画上了句号。那么今年的高考数学难度怎么样呢?以下是小编精心收集整理的2022年高考全国乙卷(理科)数学科目题目与答案解析,下面小编就和大家分享,来欣赏一下吧。
2022年高考全国乙卷(理科)数学科目题目与答案解析















高考数学科目答题窍门
一、选择题十大速解方法
排除法、增加条件法、以小见大法、极限法、关键点法、对称法、小结论法、归纳法、感觉法、分析选项法;
填空题四大速解方法
直接法、特殊化法、数形结合法、等价转化法。
二、解三角形问题
1、解题路线图
(1) ①化简变形;②用余弦定理转化为边的关系;③变形证明。
(2) ①用余弦定理表示角;②用基本不等式求范围;③确定角的取值范围。
2、构建答题模板
①定条件:即确定三角形中的已知和所求,在图形中标注出来,然后确定转化的方向。
②定工具:即根据条件和所求,合理选择转化的工具,实施边角之间的互化。
③求结果。
④再反思:在实施边角互化的时候应注意转化的方向,一般有两种思路:一是全部转化为边之间的关系;二是全部转化为角之间的关系,然后进行恒等变形。
三、数列的通项、求和问题
1、解题路线图
①先求某一项,或者找到数列的关系式。
②求通项公式。
③求数列和通式。
2、构建答题模板
①找递推:根据已知条件确定数列相邻两项之间的关系,即找数列的递推公式。
②求通项:根据数列递推公式转化为等差或等比数列求通项公式,或利用累加法或累乘法求通项公式。
③定方法:根据数列表达式的结构特征确定求和方法(如公式法、裂项相消法、错位相减法、分组法等)。
④写步骤:规范写出求和步骤。
⑤再反思:反思回顾,查看关键点、易错点及解题规范。
四、利用空间向量求角问题
1、解题路线图
①建立坐标系,并用坐标来表示向量。
②空间向量的坐标运算。
③用向量工具求空间的角和距离。
2、构建答题模板
①找垂直:找出(或作出)具有公共交点的三条两两垂直的直线。
②写坐标:建立空间直角坐标系,写出特征点坐标。
③求向量:求直线的方向向量或平面的法向量。
④求夹角:计算向量的夹角。
⑤得结论:得到所求两个平面所成的角或直线和平面所成的角。
五、圆锥曲线中的范围问题
1、解题路线图
①设方程。
②解系数。
③得结论。
2、构建答题模板
①提关系:从题设条件中提取不等关系式。
②找函数:用一个变量表示目标变量,代入不等关系式。
③得范围:通过求解含目标变量的不等式,得所求参数的范围。
④再回顾:注意目标变量的范围所受题中其他因素的制约。
学好高中数学的方法有哪些
1.先看笔记后做作业。
有的高中学生感到。老师讲过的,自己已经听得明明白白了。但是,为什么自己一做题就困难重重了呢?其原因在于,学生对教师所讲的内容的理解,还没能达到教师所要求的层次。因此,每天在做作业之前,一定要把课本的有关内容和当天的课堂笔记先看一看。能否坚持如此,常常是好学生与差学生的最大区别。尤其练习题不太配套时,作业中往往没有老师刚刚讲过的题目类型,因此不能对比消化。如果自己又不注意对此落实,天长日久,就会造成极大损失。
2.做题之后加强反思。
学生一定要明确,现在正坐着的题,一定不是考试的题目。而是要运用现在正做着的题目的解题思路与方法。因此,要把自己做过的每道题加以反思。总结一下自己的收获。要总结出,这是一道什么内容的题,用的是什么方法。做到知识成片,问题成串,日久天长,构建起一个内容与方法的科学的网络系统。
3.定期重复巩固
即使是复习过的内容仍须定期巩固,但是复习的次数应随时间的增长而逐步减小,间隔也可以逐渐拉长。可以当天巩固新知识,每周进行周小结,每月进行阶段性总结,期中、期末进行全面系统的学期复习。从内容上看,每课知识即时回顾,每单元进行知识梳理,每章节进行知识归纳总结,必须把相关知识串联在一起,形成知识网络,达到对知识和方法的整体把握。
2022年高考全国乙卷(理科)数学科目题目与答案解析相关文章:
